基于脂肪酸标志法的不同海区合浦珠母贝的摄食差异研究

Feeding differentiation of pearl oysters (Pinctada fucata) in different habitats based on fatty acid biomarkers

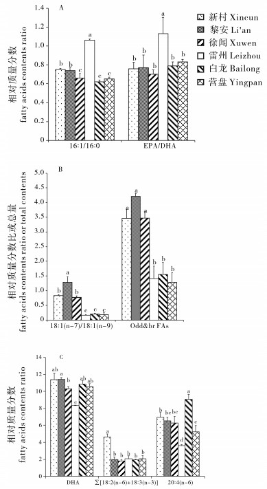
  • 摘要: 运用脂肪酸标志法分析了海南新村和黎安、广东徐闻和雷州、广西白龙和营盘6个海区养殖的合浦珠母贝(Pinctada fucata)的食物组成。结果表明,硅藻、鞭毛藻类或原生动物、大型绿藻或陆生植物颗粒、褐藻类及细菌等都可能是合浦珠母贝的食物来源。其中新村的食物组成中大型绿藻或陆生植物脂肪酸标志物∑C18 : 2(n-6)+C18 : 3(n-3)相对质量分数高达4.64%,较其他地点差异显著。黎安的细菌脂肪酸标志物C18 : 1(n-7)/C18 : 1(n-9)为1.29,Odd & br FAs达4.21%优势于其他地区。雷州的硅藻脂肪酸标志物C16 : 1(n-7)/C16 : 0=1.06和DHA/EPA=1.13显著高于其他地区。白龙地区贝体中褐藻类脂肪酸标志物C20 : 4(n-6)为9.08%较其他地区差异显著。新村、黎安、徐闻、白龙和营盘的鞭毛藻类或原生动物脂肪酸标志物(DHA)均高于雷州,并且差异显著。结果表明,合浦珠母贝饵料组成与其栖息环境息息相关。

     

    Abstract: We studied the food composition of pearl oysters (Pinctada fucata) cultured in six habitats (Xincun and Li′an of Hainan Province, Xuwen and Leizhou of Guangdong Province, and Bailong and Yingpan of Guangxi) by using fatty acid biomarkers. The fatty acid biomarkers indicate that diatoms, dinoflagellates/protozoa, chlorophyta/terrestrial plants particles, brown seaweed and bacteria could be the food compositions of P.fucata. The biomarker of chlorophyta/terrestrial plants (∑C18 : 2(n-6)+C18 : 3(n-3)) was significantly higher in Xincun (4.64%) than in the other places; the biomarkers of bacteria C18 : 1(n-7)/C18 : 1(n-9) and Odd&brFAs were higher in Li′an (1.29 and 4.21%) than in the others; the markers of diatoms (C16 : 1(n-7)/C16 : 0 and DHA/EPA) were significantly higher in Leizhou (1.06 and 1.13) than in the others; the biomarker of brown seaweed C20 : 4(n-6) was significantly higher in Bailong (9.08%) than in the others; the biomarker of dinoflagellates/protozoa (DHA) was significantly higher in Xincun, Li′an, Xuwen, Bailong and Yingpan than in Leizhou. It is indicated that the food composition of the pearl oysters was closely related with their habitats.

     

/

返回文章
返回