驯化摄食对黑鲍饵料选择性的影响研究

Effects of diets acclimation on the feeding preference of juvenile black abalone

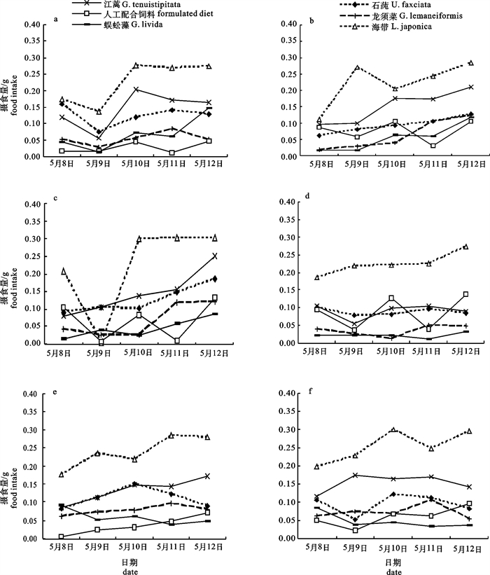
  • 摘要: 研究了黑鲍(Haliotis discus hannai♀×H.discus discus ♂)对裂片石莼(Ulva faxciata)、龙须菜(Gracilaria lemaneiformis)、海带(Laminaria japonica)、细基江蓠繁枝变种(G.tenuistipitata)、舌状蜈蚣藻(Grateloupia livida)和人工配合饲料6种饵料的选择性,继而通过实验研究了强制摄食驯化对黑鲍饵料选择性的影响。实验发现,在无饵料强制驯化的状态下,黑鲍对几种实验海藻的选择性依次为海带>石莼>江蓠>龙须菜>蜈蚣藻;在用单一饵料强制驯化7 d后,黑鲍对几种实验海藻的选择性依次为海带>江蓠>石莼>龙须菜>蜈蚣藻。而黑鲍对人工配合饲料的摄食存在随机性,没有一定的规律。研究表明,海带是黑鲍最喜食的饵料,前期摄食驯化对其饵料选择性没有显著的影响。

     

    Abstract: Studies were conducted on the feeding preference of black abalone (Haliotis discus hannai♀×H.discus discus ♂), six diets were tested Ulva faxciata, Gracilaria lemaneiformis, Laminaria japonica, G.tenuistipitata, Grateloupia livida and formulated diet, and the effects of diet acclimation on the feeding preference were also investigated. The result is that without diet acclimation, the sequence of food preference of black abalone is L.japonica>U.faxciata>G.tenuistipitata> G.lemaneiformis>G.livida. While after seven days of diet acclimation, the sequence of preference turned as L.japonica>G.tenuistipitata>U.faxciata>G.lemaneiformis>G.livida.However, the experiments showed that black abalone fed the formulated diet just by chance and no regularity could be found.The results indicated that L.japonica was the most favorite diet to black abalone, and there′s no significant effect of diets pre-acclimation on feeding preference.

     

/

返回文章
返回