大气CO2浓度升高和氮加富对羊牺菜生理生化特征的影响

Effects of increased atmospheric CO2 and N supply on some physiological and biochemical traits in the economic brown seaweed, Hizikia fusiformis (Sargassaceae, Phaeophyta)

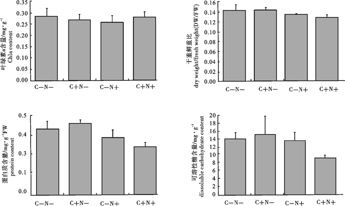
  • 摘要: 以褐藻门马尾藻科马尾藻属羊栖菜(Hizikia fusiformis)为试验材料,探讨了在2种氮(N)水平下,CO2浓度升高对羊栖菜生长、光合作用和生化组成的影响。试验设350和700 μmol · mol-12种CO2浓度水平,以及自然海水加入浓度0、500 μmol · L-1的NaNO32种N肥施用水平。结果表明,在自然海水培养的条件下,倍增CO2对羊栖菜生长、光合作用和生化组成的影响不明显。而在N加富海水中培养的藻体升高CO2较明显的抑制了藻体的生长,并且干重鲜重比、体内蛋白质和可溶性多糖的含量分别降低4.5%、15%、32%。这可能主要是由于N加富使藻体内NO2-过多积累,而CO2升高使水体pH值降低,在藻体内形成HNO2产生的毒害作用。

     

    Abstract: The marine macroalgae Hizikia fusiformis (Harvey) Okamura (Sargassaceae, Phaeophyta) was cultured under the condition of elevated atmospheric CO2and increased N supply to investigate the effects of increased CO2concentration and N supply on the growth, photosynthesis, and other related physiological and biochemical traits in this species. The experiment was designed for two CO2 levels which was 350 and 700 mol · mol-1, and two NO3-levels which was added 0, 500 mol · L-1 NaNO3in seawater. The algae cultured under non-N-enriched seawater, elevated CO2concentration had no significant effects on growth and biochemical traits. However, the algae cultured under N-enriched seawater, elevated CO2could effectively depress the growth.The ratio of fresh weight (FW)to dry weight (DW), the concentrations of soluble protein and soluble carbohydrate were decreased 4.5%, 15% and 32%. It suggested that increased N supply led to the accumulation of NO2-, and elevated CO2concentration caused pH value to decrease. This condition was well to form HNO2, which is toxic effect on H.fusiformis.

     

/

返回文章
返回