养殖密度对瓦氏黄颡鱼幼鱼生长和生理生化指标的影响

Effects of stocking density on growth performance and physiological and biochemical parameters of Pelteobagrus vachelli juvenile

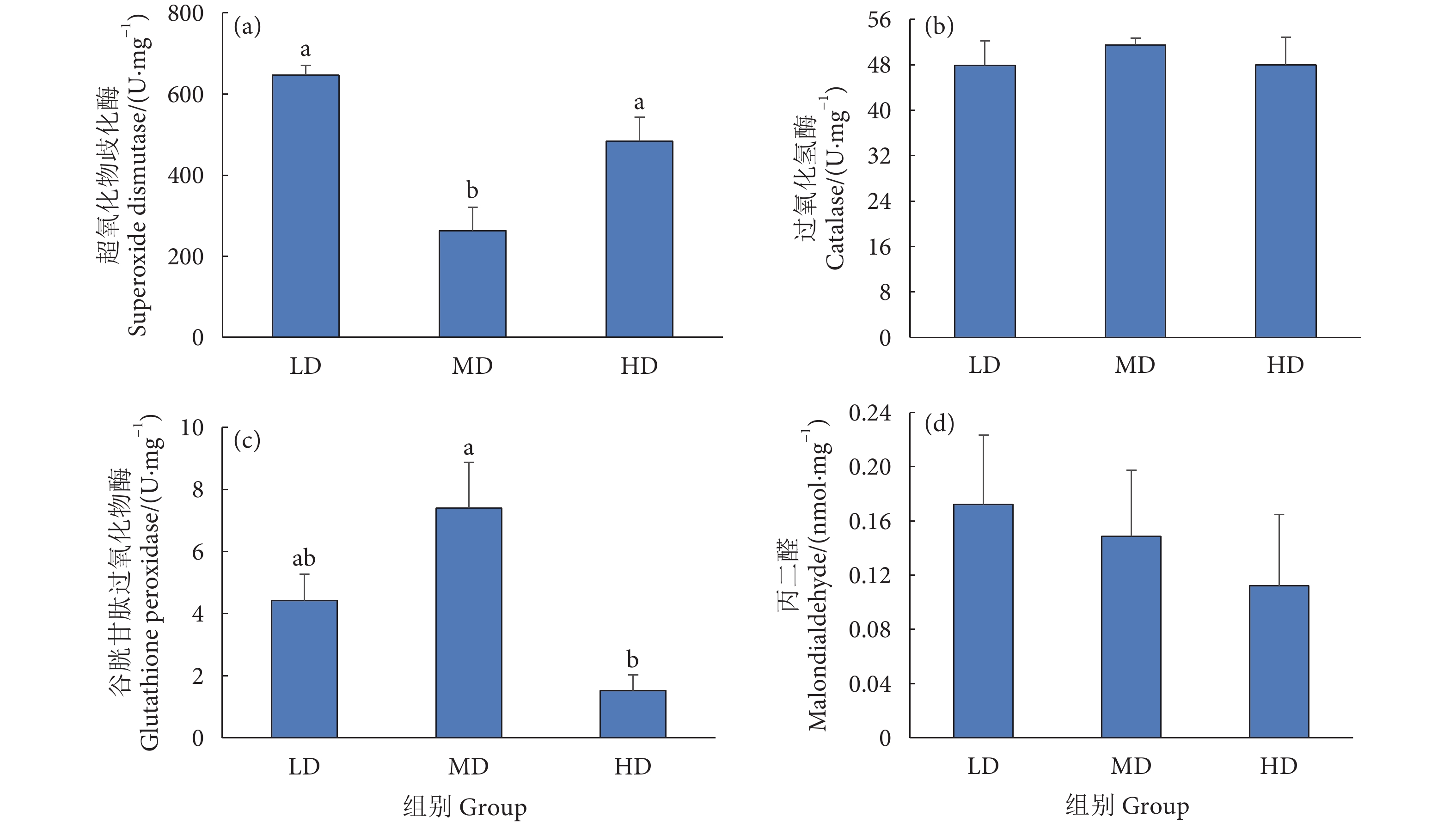
  • 摘要: 瓦氏黄颡鱼 (Pelteobagrus vachelli) 是长江流域的特色土著鱼类,具有广阔的发展前景。为探究陆基循环水养殖模式下瓦氏黄颡鱼幼鱼对不同密度的响应,设置了低密度组 LD, (2.03±0.09) kg·m−3、中密度组 MD, (3.49±0.37) kg·m−3 和高密度组 HD, (5.03±0.11) kg·m−3 3个密度组,对其进行56 d的养殖实验,测定其生长性能和生理生化指标。结果显示,MD组的增长率显著高于其他组,饲料系数低于其他组,表现出更优的生长性能。体长和体质量的变异系数无显著性差异 (p>0.05),但最低值均出现在MD组,表明MD组瓦氏黄颡鱼幼鱼的生长离散程度较低,规格较均匀。血清葡萄糖 (GLU)含量在HD组达到最大值 (p<0.05),而甘油三酯 (TG) 和总胆固醇 (TC) 含量在LD组达到最大值 (p<0.05)。溶菌酶 (LZM) 活性随着养殖密度的增加呈下降趋势,而皮质醇含量无显著性差异 (p>0.05)。MD组肝脏超氧化物歧化酶 (SOD) 活性最低 (p<0.05),谷胱甘肽过氧化物酶 (GSP-Px) 活性最高 (p<0.05)。过氧化氢酶 (CAT) 活性和丙二醛 (MDA) 含量在各密度组间无显著性差异 (p>0.05)。肠道胰蛋白酶 (Trypsin)、脂肪酶 (LPS) 和淀粉酶 (AMS) 活性均在MD组达到最高值。研究表明,在本陆基循环水系统中,瓦氏黄颡鱼幼鱼在3.49 kg·m−3养殖密度下表现出最佳的生长性能和生理状态。

     

    Abstract: Pelteobagrus vachelli, a native fish species of the Yangtze River, shows great developmental potential. To understand how it responds to varying densities in a land-based circulating water system, we investigated three density groups: Low density LD, (2.03±0.09) kg·m−3, medium density MD, (3.49±0.37) kg·m−3 and high density HD, (5.03±0.11) kg·m−3. After a 56-day rearing, we assessed the growth, physiological, and biochemical parameters of P. vachelli juvenile. The results show that MD group exhibited a significantly higher length gain rate but a lower food coefficient compared with the other groups, showingsuperior growth performance. There were no significant changes in the variation coefficients of body length and body mass (p>0.05), but the lowest values were found in MD group, indicating that the growth dispersion of P. vachelli in MD group was better and the specifications were more uniform. Serum glucose levels peaked in HD group (p<0.05), while serum triglycerides and total cholesterol were highest in LD group (p<0.05). Lysozyme activity decreased as density increased, but cortisol levelsremained relatively stable (p>0.05). The liver's superoxide dismutase activity was the lowest in MD group (p<0.05), while glutathione peroxidase activity was the highest (p<0.05). No significant differences were observed in the catalase activity and malondialdehyde content among the groups (p>0.05). The activities of intestinal enzymes such as trypsin, lipase, and amylase were the highest in MD group. The results suggest that P. vachelli juvenile grows best in a land-based circulating water system at a stocking density of 3.49 kg·m−3.

     

/

返回文章
返回