微型温深仪 (TDR-2050) 对金枪鱼延绳钓钓钩深度的影响

Influence of miniature temperature-depth recorder (TDR-2050) on hook depth of tuna longline fishing hooks

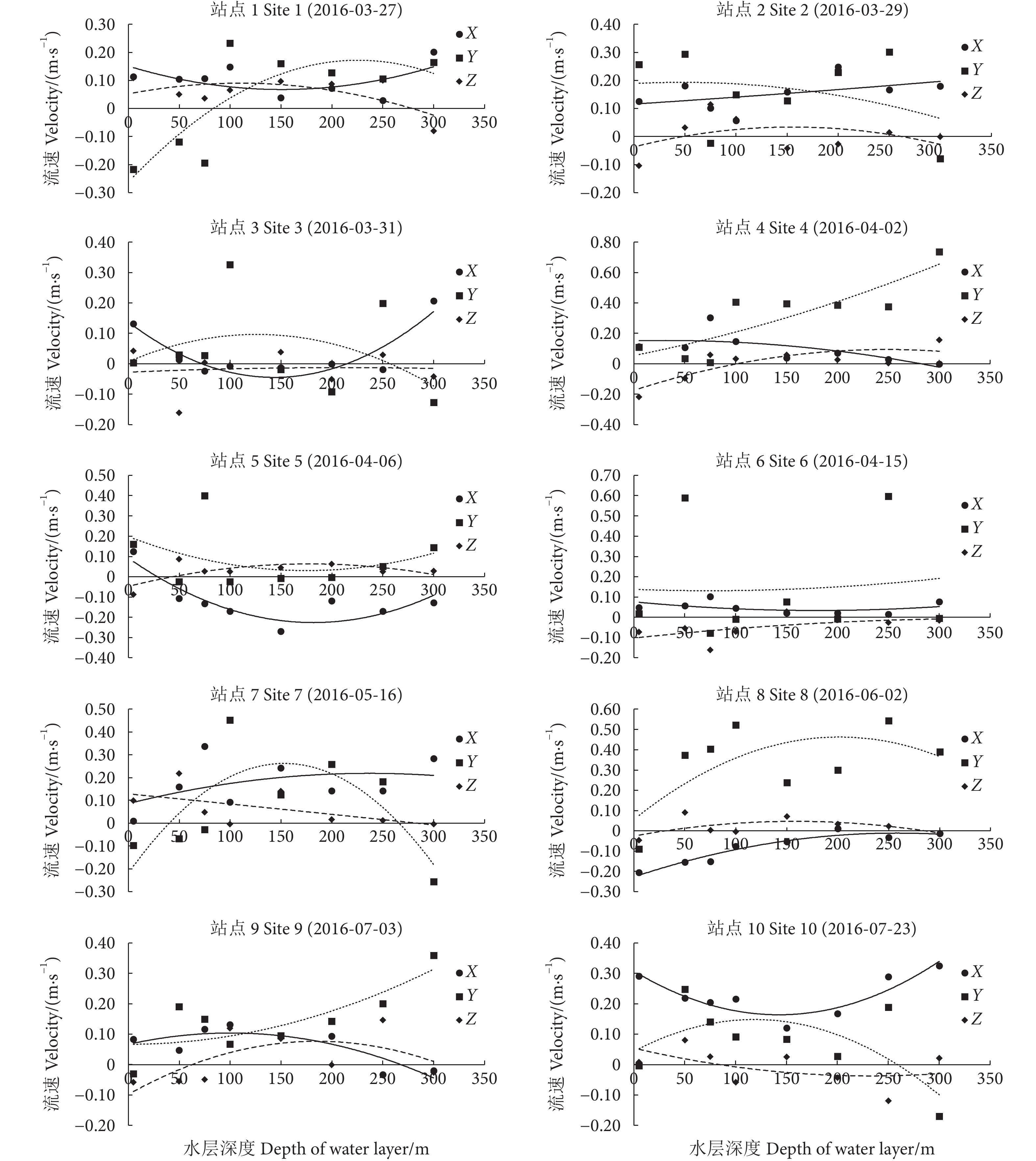
  • 摘要: 掌握延绳钓的钓钩深度对提升目标鱼种渔获率及减少兼捕具有重要意义。基于2016年1—8月在波利尼西亚以西公海的金枪鱼延绳钓调查数据,采用有限元理论构建三维动力学模型,通过显式六级五阶龙格库塔法计算钓钩深度,并利用“有”温度深度记录仪 (Temperature-depth recorder, TDR) 水中质量的数值模型对“无”TDR水中质量的模拟深度进行校正。将“有”和“无”TDR水中质量的数值模型所得钓钩深度,与TDR海上实测及校正深度进行单因素方差分析。结果表明:1)“有”和“无”TDR水中质量的数值模型计算得到的钓钩深度与TDR 海上实测和校正后得到的钓钩深度两两之间无显著性差异 (p>0.05),数值模型正确;2) 随着海流减弱,TDR对沉降深度的影响逐渐增大;3) 流速小于0.16 m·s−1时,TDR对延绳钓较浅组、中间组和最深组钓钩深度的影响分别平均加深1.0、2.3 和3.7 m,各组校正因子分别为1.010、1.011和1.016;4) 加拿大RBR公司的TDR (2050) 能够较好地应用于延绳钓钓钩深度的测量,今后可忽略此TDR对钓钩深度的影响。所建立的延绳钓渔具动力学模型能够模拟在三维海流作用下的钓钩沉降深度,探究 TDR 水中质量对延绳钓沉降深度的影响,并进行空间形状变化的三维可视化。

     

    Abstract: Understanding the hook depth of longline fishing gear is crucial for improving the catch rate of target species and reducing the bycatch. Based on the tuna longline survey data collected in the high seas west of Polynesia from January to August of 2016, we employed the finite element method to construct a three-dimensional dynamic model. We used the explicit sixth-order five-stage Runge-Kutta method to calculate hook depths, and utilized a numerical model with temperature-depth recorder (TDR) mass in water was to correct the simulated depths without TDR mass in water. Then we conducted a one-way ANOVA to compare the hook depths obtained from numerical models with and without TDR (2050) mass in water, against the actual TDR measurements and corrected depths at sea. The results show that: 1) There was no significant difference between the hook depth calculated by the numerical models of mass in water with and without TDR and the hook depth measured and corrected by TDR at sea (p>0.05), indicating that the numerical model was correct. 2) As the current weakened, the influence of TDR on the depth of settlement increased gradually. 3) When the flow velocity was less than 0.16 m·s−1, the influence of TDR on the depth of the hooks in the shallow, middle, and deepest groups of longline fishing increased by an average of 1.0, 2.3, and 3.7 m, with correction factors of 1.010, 1.011, and 1.016 for each group, respectively. 4) The TDR (2050) from the Canadian RBR Company can be effectively utilized for measuring the depth of longline fishing hooks, and its impact on the depth of the hook can be disregarded in the future. The dynamic model of longline fishing gear established in this study can simulate the sinking depth of the hook under the action of three-dimensional currents, explore the influence of TDR mass in water on the sinking depth of longline fishing, and perform the three-dimensional visualization of spatial shape changes.

     

/

返回文章
返回