风浪流耦合作用下方型升降式网箱水动力特性研究

Hydrodynamic performance of a square-type submersible net cage under combined wind, wave and current conditions

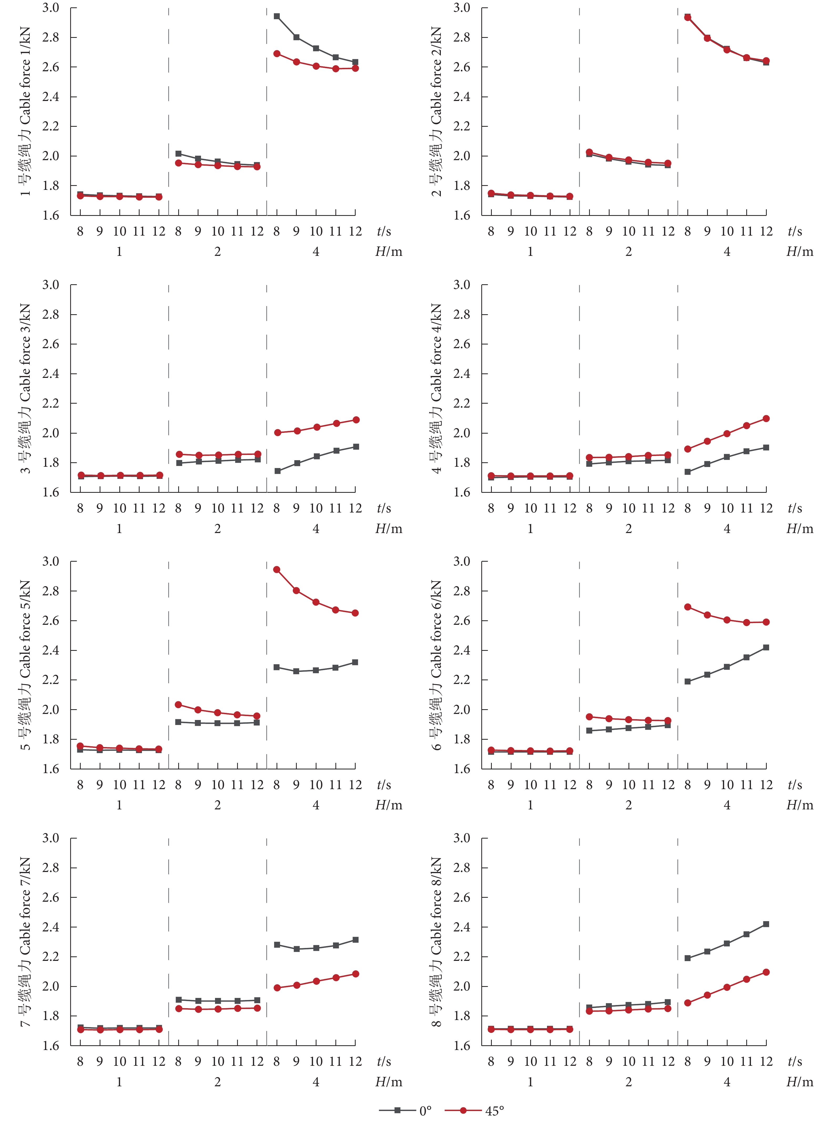
  • 摘要: 重力式网箱作为中国海域广泛使用的海水养殖设施,其水动力特性对于保障养殖安全和提升效率至关重要。然而,目前针对重力式网箱中的方型升降式网箱的水动力特性研究相对较少。为此,采用Orcaflex软件对方型升降式网箱进行建模,探讨了在不同浪向角和波高条件下的水动力响应。研究发现,浪向角的变化对方型升降式网箱的缆绳受力分布具有显著影响,迎浪侧缆绳受力明显大于背浪侧。当浪向角为0° 和45° 时,缆绳的最大有效张力基本一致,表明研究采用的布置方式对不同浪向角下的波浪具有较好的抵抗作用。此外,还分析了方型升降式网箱在极端海况下的水动力性能。结果表明,当网箱处于下潜状态时,缆绳的有效张力、网衣的变形程度以及浮架的最大加速度和运动幅值均显著降低。该发现有效证明了网箱下潜状态在抵御极端海况和提升装备适渔性方面的优越性。

     

    Abstract: As a widely used mariculture facility in China's sea areas, the hydrodynamic performance of gravity net cages is crucial for ensuring the aquaculture safety and efficiency improvement. However, few studies have been conducted on the hydrodynamic performance of square-type submersible net cages. Thus, we used Orcaflex software to establish a model for the hydrodynamic response of a square-type submersible net cage, so as to investigate the hydrodynamic response under combined wave and current conditions. It is found that the change of incident wave angle had a significant effect on the force distribution of the cable of net cage, and the force on the cable was significantly greater on the weather side than on the lee side. When the wave angle ranged from 0° to 45°, the maximum effective tension of the cable was almost unchanged, which indicates that the arrangement adopted in the study can well resist the waves with various angles. In addition, we analyzed the hydrodynamic performance of the square-type submersible net cage under extreme sea conditions. The results show that the effective tension of the cable, the degree of deformation of the net, and the maximum acceleration and amplitude of motion of the pontoon, all decreased significantly when the net cage was submerged. This findings effectively prove that the submerged state of net cage is more helpful in resisting extreme sea state, and improving the fishing suitability of equipment.

     

/

返回文章
返回