免漂洗罗非鱼鱼糜凝胶品质改良及机理分析

Quality improvement and mechanism analysis of non-rinsing tilapia surimi gel

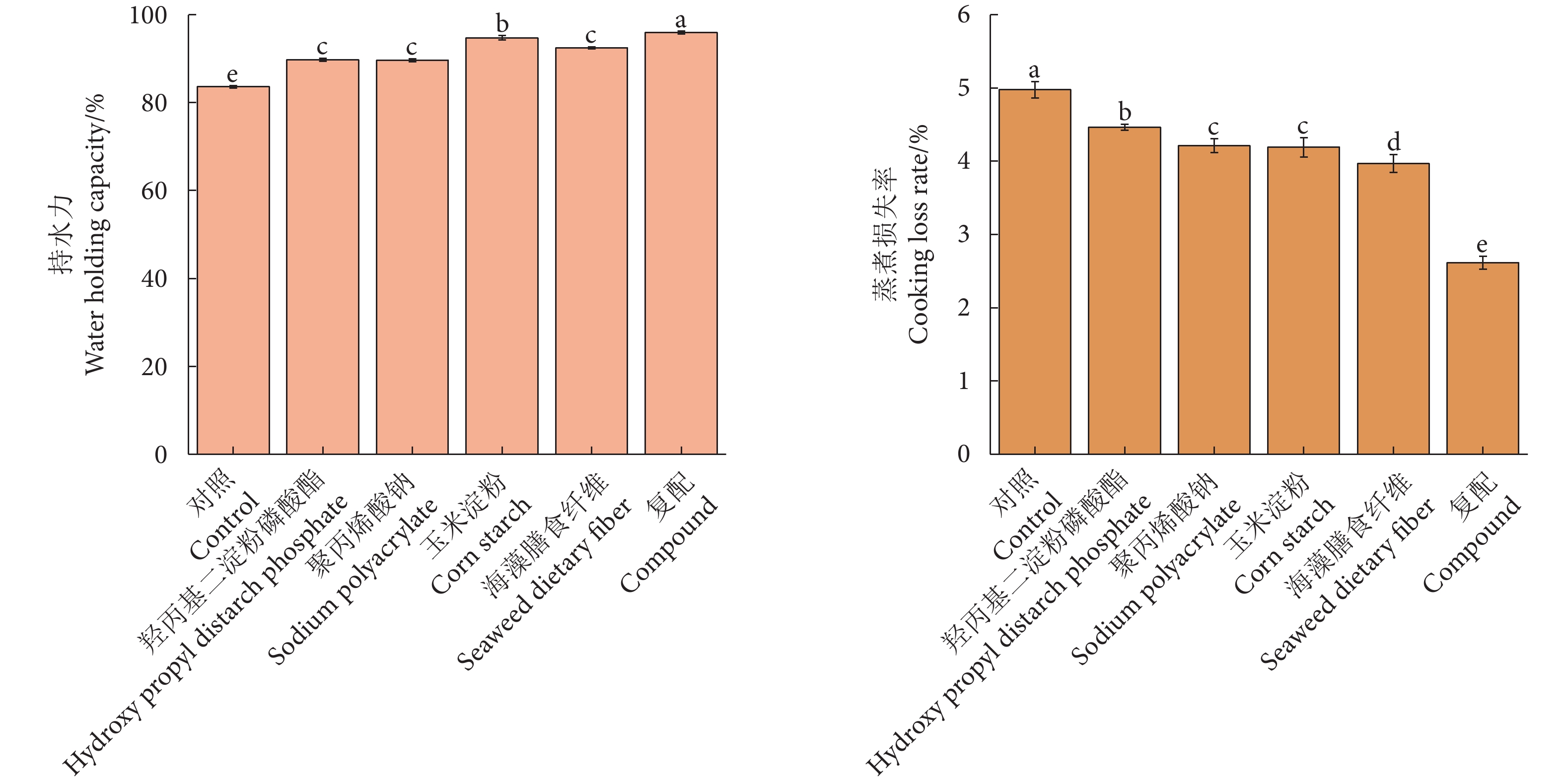
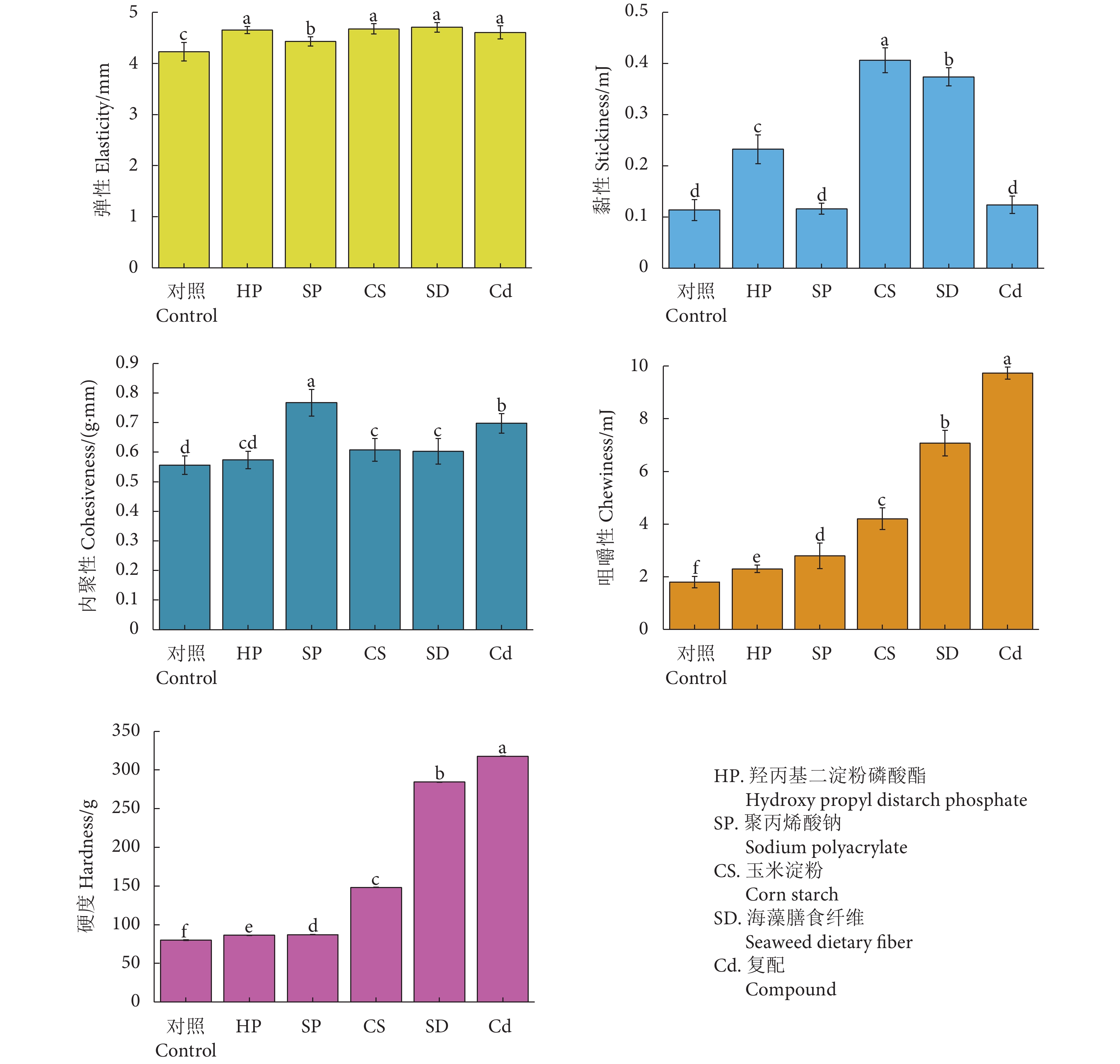
  • 摘要: 免漂洗鱼糜因含有较多的蛋白质和脂肪,风味较好,但凝胶特性不足。以罗非鱼免漂洗鱼糜为原料,探究淀粉、亲水胶体、膳食纤维等物质对其鱼糜凝胶质构特性、流变学特性、色泽、持水性及蒸煮损失率的影响,并从鱼糜水分分布、分子间作用力及蛋白质结构等角度多维分析免漂洗鱼糜凝胶品质增强的机理。结果表明:与对照组相比,淀粉、亲水胶体、膳食纤维等物质均能改善免漂洗鱼糜的质构特性和凝胶强度,提高其持水性且降低蒸煮损失率;在淀粉、亲水胶体及膳食纤维等作用下,免漂洗鱼糜中自由水转换为不易流动水和结合水,且蛋白质分子间的疏水相互作用增强,α-螺旋转变为有序β-折叠;形成十分致密、稳定的免漂洗鱼糜凝胶网络结构,明显改善了免漂洗鱼糜的凝胶品质。优化复配添加物 (1.5%羟丙基二淀粉磷酸酯、0.3%聚丙烯酸钠、12%玉米淀粉和1.5%海藻膳食纤维) 对免漂洗鱼糜凝胶的改善效果最显著。

     

    Abstract: Non-rinsing surimi has better flavor due to its higher protein and fat content, but it has insufficient gel properties. We investigated the effects of starch, hydrophilic colloid and dietary fiber on the texture characteristics, rheological properties, color, water holding capacity and cooking loss rate of tilapia non-rinsing surimi. Besides, we analyzed the mechanism of gel quality enhancement of non-rinsing surimi gel from the aspects of water distribution, intermolecular force and protein structure. The results show that compared with the control group, the starch, hydrophilic colloid, dietary fiber and other substances could improve the texture characteristics and gel strength of non-rinsing surimi. The water holding capacity of surimi increased and the cooking loss rate decreased. Under the influence of starch, hydrophilic colloid and dietary fiber, the free water in non-rinsing surimi was converted into immobilized water and bound water, the hydrophobic interaction between protein molecules enhanced, and the α-helix was transformed into ordered β-sheet. The formation of dense and stable surimi gel network structure could significantly improve the gel quality of non-rinsing surimi. Especially, the optimized compound addition (1.5% hydroxypropyl distarch phosphate, 0.3% sodium polyacrylate, 12% corn starch and 1.5% seaweed dietary fiber) had the most significant effect on surimi gel.

     

/

返回文章
返回