养殖舱增氧氧锥气液两相流影响因素分析

Influencing factors of gas-liquid two-phase flow in oxygenation speece cone of aquaculture tanks

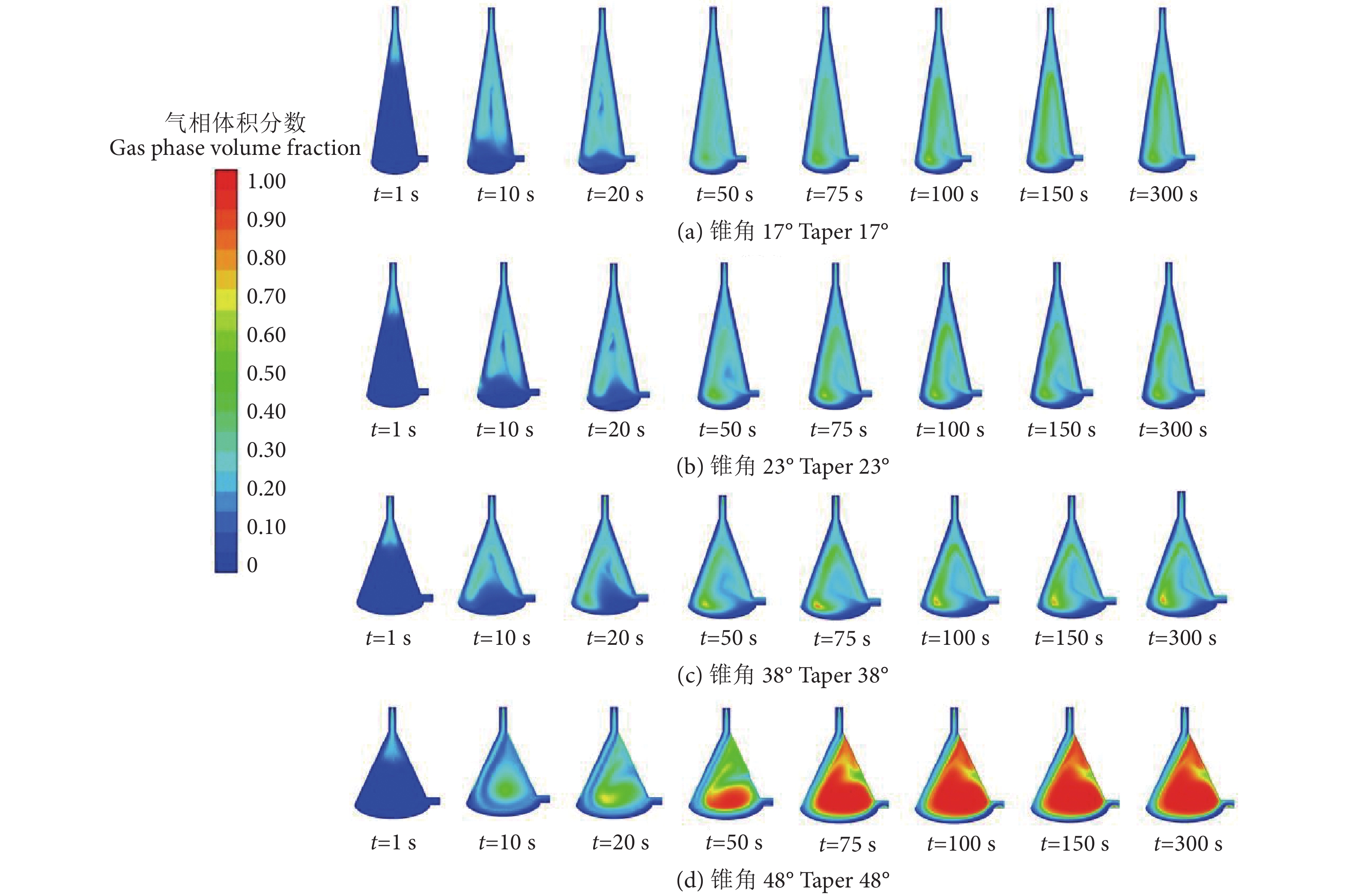
  • 摘要: 为了解氧锥内部气液两相流动特性并提高氧锥增氧性能,以大型工船养殖舱增氧系统中的氧锥为研究对象,基于Euler-Euler模型,对不同进气方式、锥度、孔径尺寸参数下的氧锥内部气液两相流动进行了瞬态数值模拟。通过分析气相体积分数分布、内部流场压力及速度分布情况,探究气液两相在氧锥内的流动规律,确定影响氧锥曝气溶氧性能的关键结构参数。结果表明,在进气流量一定的情况下,当进气与入水从氧锥顶部进入时,气体与水混合程度较大,试验验证了氧锥顶部进气方式的溶氧性能优于左端进气和右端进气2种方式;在氧锥容积相同的情况下,氧锥锥度的变化会引起气液两相的变化。在锥度较小且氧锥较高时,氧气在氧锥内部的运动路径及混合时间较长,有利于充分溶氧;在同一进气方式下,氧锥内部的气液两相分布相似,且氧锥出口气体的体积分数随着进气孔径的减小而增大。当进气孔径减小至10 mm时,氧锥内部的气液混合最为充分。

     

    Abstract: To understand the characteristics of gas-liquid two-phase flow in the speece cone and improve its oxygenation performance, taking the speece cone in an oxygenation system of large-scale aquaculture platform cabin as the subject, we carried out a two-dimensional transient numerical simulation of gas-liquid two-phase flow in the speece cone under different conditions (Gas inlet method, taper and aperture size) based on the Euler-Euler model, analyzed the gas volume fraction distribution, the internal flow field pressure and the velocity distribution, explored the flow law of gas-liquid two-phase in the speece cone, and determined the key structural parameters influencing the aeration and oxygen dissolving performance of the speece cone. According to the results, under a given air inlet flow, when the gas inlet was consistent with the water inlet from speece cone, the mixing degree of gas and water was high. The experimental verification shows that the speece cone with top inlet had the best dissolved oxygen performance compared with the left inlet method and right inlet method. When the speece cone had the same volume, changes in the taper of the speece cone led to gas-liquid two-phase changed: a smaller taper, a higher speece cone, and longer motion path and mixing time of oxygen in the speece cone, favoring full oxygen dissolution. By the same gas inlet method, the gas-liquid two-phase distribution was similar in the speece cone. The volume fraction of the speece cone outlet gas increased with decreasing air inlet aperture, and when the air inlet aperture was reduced to d =10 mm, the gas and liquid were best mixed in the speece cone.

     

/

返回文章
返回