三峡库区夏季和秋季鱼类群落结构及环境影响因子研究

Fish community structure and environmental impact factors in Three Gorges Reservoir during summer and autumn

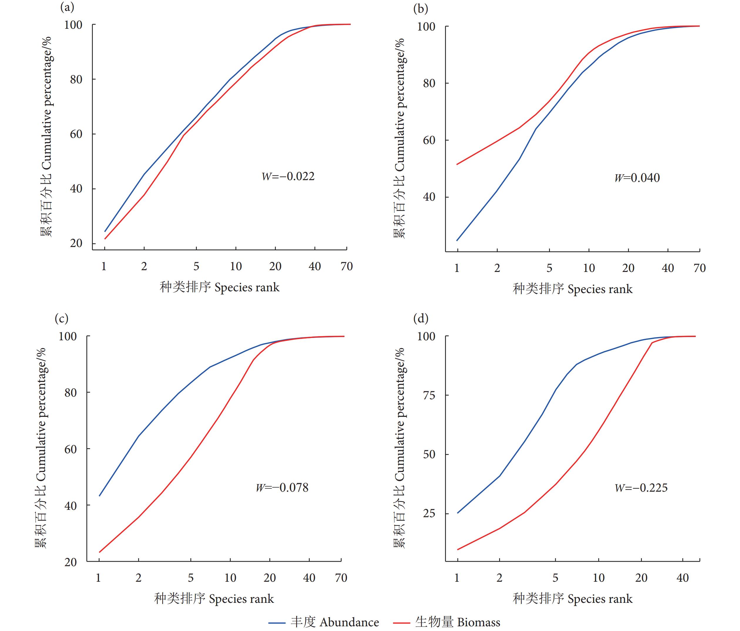
  • 摘要: 三峡库区鱼类资源丰富,是长江水生生物保护的关键区域。然而,随着库区蓄水和人类活动的加剧,鱼类群落已发生显著变化。基于2018年对三峡库区夏季和秋季鱼类群落结构的调查,研究分析了木洞、涪陵、云阳和巫山4个江段的优势种组成、分布特征及其与环境因子的关系,旨在为后续评估禁捕效果提供科学依据。共调查到鱼类94种,隶属于9目21科,其中包括13种外来种和15种长江中上游特有种。不同江段的鱼类群落结构在空间上具有显著性差异 (p<0.05),但季节差异不显著 (p>0.05)。优势种分析结果显示,三峡库区鱼类群落具有小型化特征。丰度/生物量曲线分析表明,木洞、云阳和巫山的W值分别为 −0.022、 −0.078和 −0.225,表明这些江段的群落结构受到不同程度的干扰,而涪陵的W值为0.040,表明该江段结构较为稳定。此外,Kendall's Tau相关性分析和冗余分析 (RDA) 结果显示,蛇鮈 (Saurogobio dabryi) 和圆筒吻鮈 (Rhinogobio cylindricus) 的丰度随离坝距离的增加和水深的减少而升高;光泽黄颡鱼 (Pelteobagrus nitidus)、翘嘴鲌 (Culter alburnus) 和短颌鲚 (Coilia brachygnathus) 的丰度则随离坝距离的缩小和水深的增加而升高;水体透明度与贝氏䱗 (Hemiculter bleekeri) 丰度呈显著负相关;水温和叶绿素a与似鳊 (Pseudobrama simoni) 丰度呈正相关。

     

    Abstract: The Three Gorges Reservoir (TGR) is a critical area for fish biodiversity conservation in the Yangtze River due to its rich fish resources. However, significant changes in fish communities have occurred following the impoundment and increasing human activities in the TGR area. Thus, based on the surveys conducted in summer and autumn of 2018, we analyzed the dominant species composition, distribution patterns, and environmental relationships of fish species in four sections of the TGR, namely Mudong, Fuling, Yunyang, and Wushan section, so as to provide a scientific basis for the subsequent assessment of the effectiveness of the fishing ban. A total of 94 fish species from 9 orders and 21 families had been recorded, including 13 exotic species and 15 species endemic to the upper Yangtze River. The results reveal significant spatial differences in fish community structures across the four sections (p<0.05), while seasonal differences were not significant (p<0.05). Dominant species results indicate a trend towards smaller-sized fish communities. The abundance-biomass comparison curves show that the W values for Mudong, Yunyang, and Wushan were −0.022, −0.078, and −0.225, respectively, indicating varying levels of disturbance, whereas Fuling had a W value of 0.040, suggesting a relatively stable community structure in this section. Kendall's Tau correlation and redundancy analysis demonstrate that the abundance of Saurogobio dabryi and Rhinogobio cylindricus increased with distance from the Three Gorges Dam and shallower water depths, while Pelteobagrus nitidus, Culter alburnus, and Coilia brachygnathus were more abundant closer to the Three Gorges Dam and in deeper water. Hemiculter bleekeri showed a significant negative correlation with water transparency, while Pseudobrama simoni was positively correlated with water temperature and chlorophyll a concentration.

     

/

返回文章
返回