基于CFD的多叶可控网板水动力特性及压力流场研究

Study on hydrodynamic characteristics and flow field visualization of multi-blade controllable otter board based on CFD

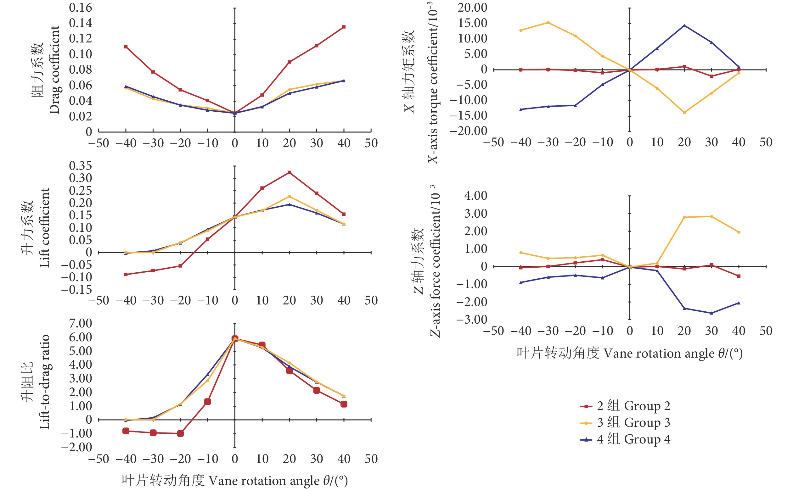
  • 摘要: 传统网板通过改变曳纲长度和拖速控制作业深度,通过改变网板与曳纲和手纲的固结点位置调整作业姿态,操作复杂。为了给可控变水层网板的设计研究提供科学参考,设计了一款多叶可控网板,通过数值模拟仿真计算流体动力学 (Computational fluid dynamics, CFD) 探究其不同部位 (上端、下端) 叶片的转动方向和转动角度 (−40°~40°) 对其水动力性能的变化影响。结果显示:1) 叶片闭合时,多叶可控网板的升力系数在20° 冲角时达到最大值0.88;其升阻比在5° 冲角时达到最大值8.85。2) 0° 冲角时,网板两端叶片朝负方向转动,升力逐渐减小至0,并在转角为 −20° 时,升力变为相反方向;两端叶片朝正方向转动,升力系数先增大后减小,在转角为 20° 时达到最大值0.32;升阻比随叶片冲角的增加而减小。3) 20° 冲角时,网板两端叶片朝正方向转动,升力系数不断减小;叶片朝负方向转动,升力系数先增大后减小,在 −10° 转角时达到最大值1.05;升阻比在 −20° 转角时达到最大值5.25。4) 两组冲角下,两端叶片分别朝正方向转动,Z轴分力系数均先增大后减小。

     

    Abstract: Traditional otter board controls working depth by changing length of the warp and towing speed, and adjusts working posture by changing fixed joint positions between otter board, warp and sweep line, which involves complex operation. To provide scientific references for the design and research of controllable variable-water-depth otter boards, we designed a multi-blade controllable otter board and employed computational fluid dynamics (CFD) simulation to investigate the effects of the rotation direction and angle (−40°~40°) of blades at different positions (Upper and lower ends) on its hydrodynamic performance. The results reveal that: 1) when the blades were closed, the lift coefficient of the multi-leaf controllable otter board reached its maximum value of 0.88 at an attack angle of 20°; its lift-to-drag ratio peaked at 8.85 at an attack angle of 5°. 2) At an attack angle of 0°, when the blades at both ends of the otter board rotated in a negative direction, the lift gradually decreased to zero and reversed its direction at a rotation angle of −20°; when the blades rotated in a positive direction, the lift coefficient first increased and then decreased, reaching its maximum value of 0.32 at a rotation angle of 20°; the lift-to-drag ratio decreased as the rotation angle increased. 3) At an attack angle of 20°, when the blades at both ends of the otter board rotated in a positive direction, the lift coefficient continuously decreased; when the blades rotated in a negative direction, the lift coefficient first increased and then decreased, reaching its maximum value of 1.05 at a rotation angle of −10°; the lift-to-drag ratio peaked at 5.25 at a rotation angle of −20°. 4) Under the two angles of attack, when the blades at both ends rotated individually in a positive direction, the Z-axis force coefficient increased first and then decreased.

     

/

返回文章
返回