养殖池塘退塘还林初期土壤有机碳及活性组分特征

Characteristics of soil organic carbon and labile components at early stage of reforestation of aquaculture pond

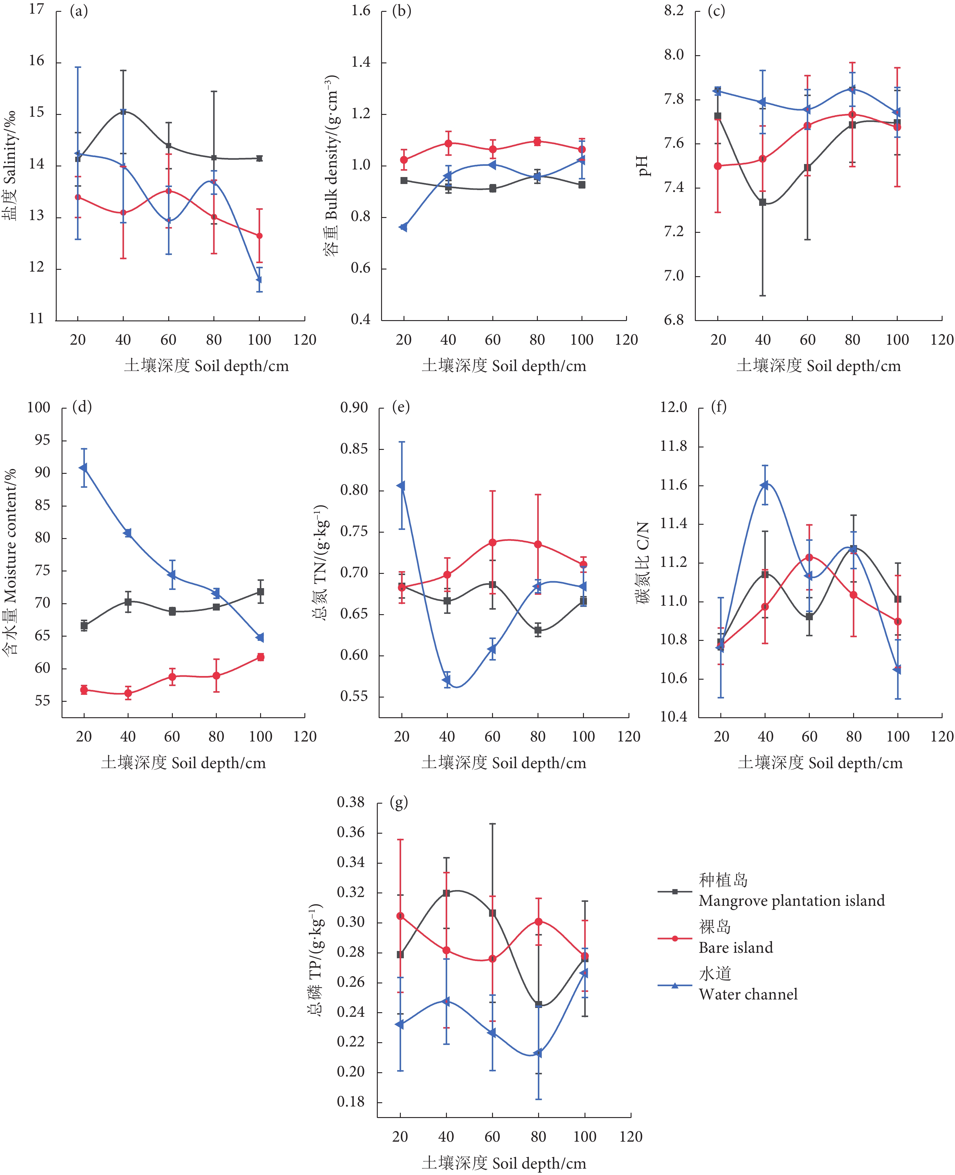
  • 摘要: 海水养殖池塘退出养殖种植红树植物(退塘还林)是恢复红树林湿地及其生态系统碳汇功能的重要手段。为揭示退塘还林初期土壤有机碳库特征及其影响因素,阐明红树林湿地恢复过程中土壤碳库的动态变化,以广东省惠东县考洲洋海域退塘还林初期(红树种植2年)的池塘为研究对象,采集塘内红树种植岛、裸岛和水道3类样地0~100 cm的土壤柱状样品,比较分析了不同深度土壤有机碳(SOC)、活性有机碳 易氧化有机碳(EOC)、微生物有机碳(MBC)和可溶性有机碳(DOC)含量差异及其与土壤因子间的相关性。结果表明:裸岛、红树种植岛和水道3类样地土壤0~100 cm SOC的质量分数分别为(7.92±0.43)、(7.72±0.35)和(7.48±0.69) g·kg−1,SOC密度分别为(84.56±3.65)、(72.01±3.20)和(70.12±1.44) Mg·hm−2;种植岛和裸岛土壤SOC峰值均出现在40~60 cm土层,深于水道样地(峰值出现在0~20 cm)。3类样地土壤活性有机碳组分EOC、MBC和DOC质量分数均为种植岛>水道>裸岛,种植岛土壤EOC和MBC峰值分别在40~60 cm和80~100 cm土层,深于水道和裸岛。土壤容重、总氮 (TN) 和总磷 (TP) 是活性有机碳含量及其垂直分布的关键影响因子,EOC和DOC与土壤容重和TP,以及MBC与TN间均呈极显著负相关(p<0.05)。研究表明,考洲洋退塘还林初期土壤活性有机碳组分占SOC比例较高,土壤碳库处于较活跃的状态;红树种植使土壤中下土层SOC活性组分含量增加,促进了有机碳向土壤深层迁移,随着红树植株的生长,其对土壤碳库和湿地碳汇的影响也将更加显著。

     

    Abstract: Reforest mangrove in aquaculture pond is considered to be an effective way to restore mangrove wetlands and their carbon sink function. In order to reveal the characteristics of soil organic carbon pools and their influencing factors at the early stage of reforest mangrove in aquaculture pond, and to elucidate the dynamic changes of soil carbon pools in the process of mangrove wetland restoration, we collected soil samples from a mangrove reforest aquaculture pond located in the northwest coast of Kaozhou Bay, Huidong County, Guangdong Province, southern China. The mangroves Rhizophora stylosa and Avicennia marina were planted in 2021. Cylindrical soil samples with 0–100 cm in length were collected in three areas: the mangrove plantation island (PI), bare island (BI), and the soil under the water channel (WC) in the pond. The soil sub-samples were compared for the soil organic carbon (SOC), as well as active organic carbon Easily oxidizable organic carbon (EOC), microbial organic carbon (MBC) and soluble organic carbon (DOC) mass fractions among different sampling areas and depths, as well as the relationship with soil physicochemical parameters. The results show that the average SOC mass fraction for the 0–100 cm soil depth followed a descending order: BI (7.92±0.43) g·kg−1>PI (7.72±0.35) g·kg−1>WC (7.48±0.69) g·kg−1. Similarly, the average SOC density followed a descending order: BI (84.56±3.65) Mg·hm−2>PI (72.01±3.20) Mg·hm−2>WC (70.12±1.44) Mg·hm−2. The highest SOC mass fraction and density were observed at the 40–60 cm depth in PI and BI areas, and at the 0–20 cm depth in WC area. The EOC, MBC and DOC mass fractions were highest in PI area, followed by WC and BI areas. The highest EOC and MBC in PI area were found at depths of 40–60 and 80–100 cm, respectively, which were deeper than those in WC and BI areas. Soil bulk density, total nitrogen and total phosphorus were identified as key factors influencing the distribution patterns of labile organic carbon. The EOC and DOC contents showed a significantly negative correlation with soil bulk density and total phosphorus, while the MBC content showed a significantly negative correlation with total nitrogen (p<0.05). The relatively high proportion of labile organic carbon components within SOC indicates that the soil carbon pool is still in an active state. The ratio of labile carbon of SOC is relatively high at the middle and deeper soil depth, indicating that the mangrove has promoted presence of labile organic carbon at middle and deeper soil depths, and mangrove facilitate the migration of organic carbon in the deeper soil layers. As the mangrove plants continue to grow, their effects on the carbon sequestration become more significant.

     

/

返回文章
返回