纳米二氧化铈对2种水产病原弧菌的抑菌活性研究

Study on bacteriostatic activity of nanocerium dioxide against two aquatic pathogenic Vibrio spp.

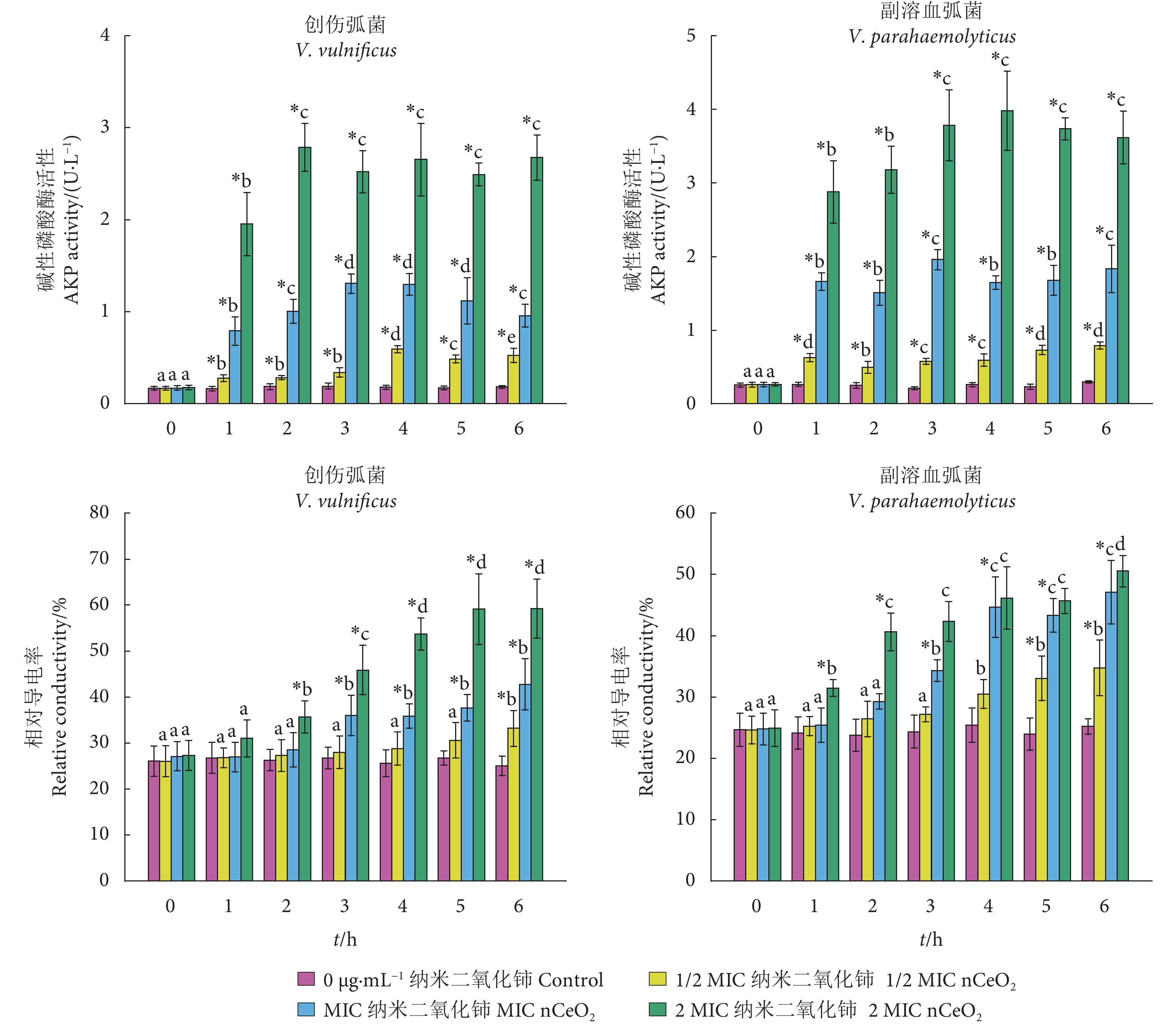
  • 摘要: 纳米二氧化铈 (nCeO2) 是一种重要的新型高抗氧化性稀土金属氧化物。为开发高效、环保且无耐药性的新型抗菌剂,通过高温煅烧六水合硝酸铈Ce(NO3)3·6H2O研磨制得nCeO2,探究了nCeO2 对创伤弧菌 (Vibrio vulnificus) 和副溶血弧菌 (V. parahaemolyticus) 的抑菌活性,并利用罗氏沼虾 (Macrobrachium rosenbergii) 体内实验对nCeO2的抑菌效果进行验证。结果显示:1) 所得nCeO2较为纯净,颗粒直径为 25.03 nm,Zeta电位 (mV) 为 −5.65,在溶液中分散均匀。2) nCeO2对创伤弧菌和副溶血弧菌的最小抑菌浓度 (MIC) 分别为128和256 μg·mL−1,最小杀菌浓度 (MBC) 均为512 μg·mL−1;nCeO2对创伤弧菌和副溶血弧菌的抑菌环直径分别为21.50和17.42 mm。3) 3种浓度nCeO2 (1/2 MIC、1 MIC、2 MIC) 均能显著抑制2种弧菌的生长活力,同时提高其胞外碱性磷酸酶 (AKP) 活性、菌液相对导电率、胞外核酸和可溶性蛋白质含量 (p<0.05)。4) nCeO2 拌料饲喂显著降低了创伤弧菌和副溶血弧菌感染模型中罗氏沼虾的死亡率 (p<0.05)。研究表明nCeO2对副溶血弧菌和创伤弧菌体外和体内均具有良好的抑杀作用,其抗菌作用可能与其破坏菌体细胞壁、细胞膜完整性和细胞膜通透性有关。

     

    Abstract: Nanocerium dioxide (nCeO2) is an important new type of rare earth metal oxide with high oxidation resistance. In order to develop new antimicrobial agents witch are efficient, environmentally friendly and non-resistant, we obtained nCeO2 from cerium nitrate hexahydrate by high temperature calcination. We sudied the in vitro antibacterial activity of nCeO2 on two kinds of aquatic pathogens (Vibrio vulnificus and V. parahaemolyticus), and verified the antibacterial effect of nCeO2 by in vivo experiment of Macrobrachium rosenbergii. The results show that: 1) The obtained nCeO2 was relatively pure. The particle diameter was 25.03 nm, the Zeta potential (mV) was −5.65, and the dispersion in the solution was relatively uniform. 2) The minimum inhibitory concentrations (MIC) of nCeO2 against V. vulnificus and V. parahaemolyticus were 128 and 256 μg·mL−1, respectively, and the minimum bactericidal concentrations (MBC) all were 512 μg·mL−1. The diameter of the inhibition ring was 21.50 mm for V. vulnificus and 17.42 mm for V. parahaemolyticus. 3) The three concentrations of nCeO2 (1/2 MIC, 1 MIC and 2 MIC) all significantly improved the extracellular AKP activity, relative conductivity of bacterial solution, nucleic acid content and soluble protein content in the extracellular (p<0.05). 4) The nCeO2 supplementation in the feed significantly reduced the mortality of M. rosenbrei in V. vulnificus and V. parahaemolyticus infection models (p<0.05). The results indicate that nCeO2 has a good inhibitory effect on aquatic pathogens V. vulnificus and V. parahaemolyticus, and the antibacterial action may be related to its destruction of cell wall membrane integrity and cell membrane permeability.

     

/

返回文章
返回