西沙群岛玉琢礁珊瑚礁鱼类种类组成及演变

Species composition and succession of coral reef fish in Yuzhuo Reef, Xisha Islands

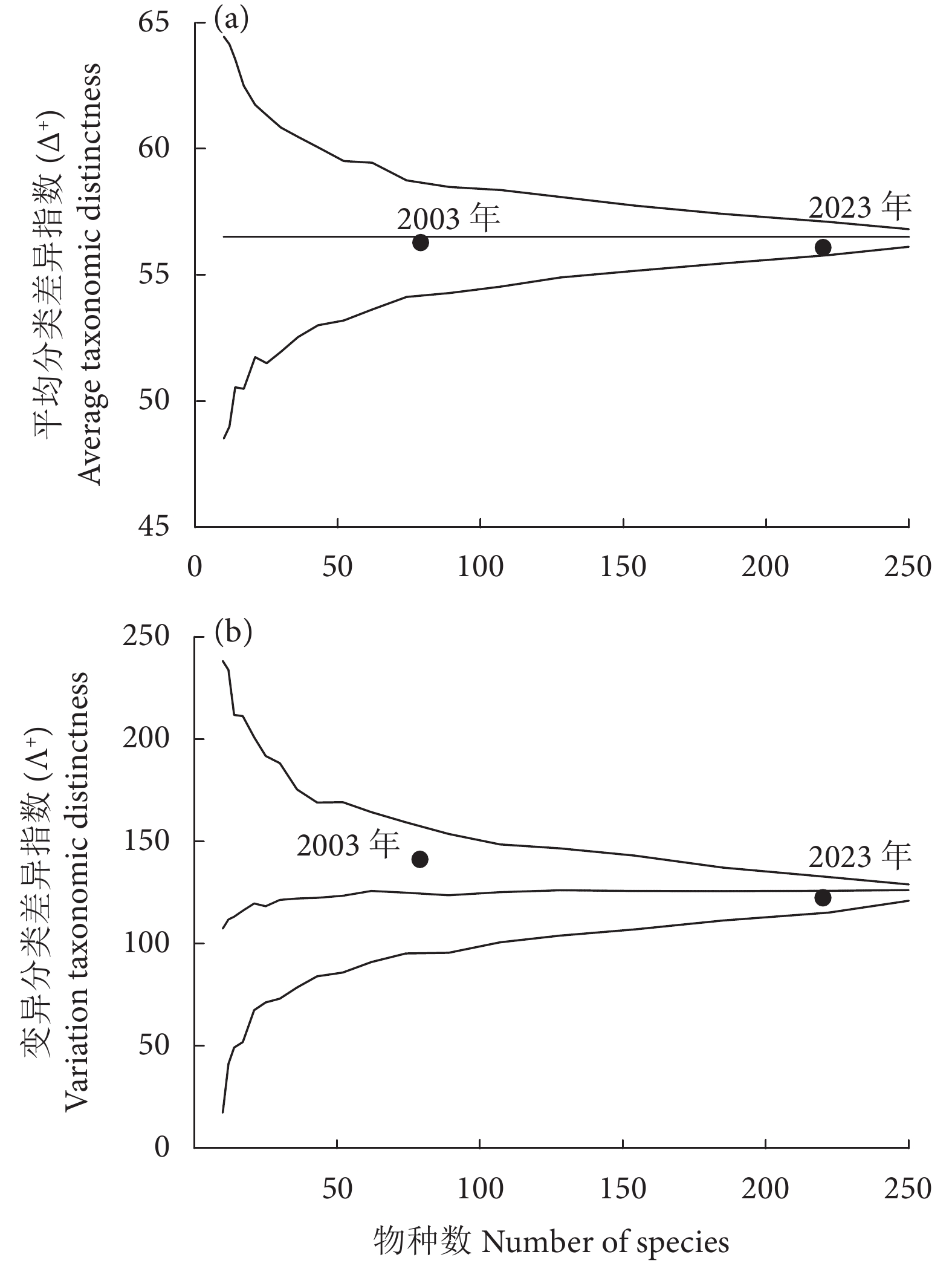
  • 摘要: 玉琢礁是西沙群岛中的重要环礁,拥有多样化的珊瑚礁生态系统和丰富的鱼类资源。为掌握玉琢礁珊瑚礁鱼类的资源状况及其演变特征,于2023年采用手钓、水下潜捕、水下视频和eDNA等方法,对其珊瑚礁鱼类资源进行调查。共发现鱼类220种,其中eDNA方法共发现鱼类111种,结合2003年中国水产科学研究院南海水产研究所的历史档案数据,截至目前在玉琢礁共发现鱼类265种,隶属于12目50科128属,其中鲈形目占绝对优势。鱼类群落组成以小型鱼类为主,平均分类差异指数 (Δ+) 和变异分类差异指数 (Λ+) 分别为56.08和122.4;相似性分析表明,2003与2023年之间,鱼类在种类组成、食性组成和不同体型层面的相似性均表现为不相似或极不相似。与历史调查数据进行比较,共有45种鱼类未被监测到,其中大型肉食性鱼类受到自然与人类扰动的影响最为显著,植食性鱼类所受到的影响相对较小,分类多样性指数 (Δ+、Λ+) 显著下降。初步推断不可持续的捕捞、生境衰退和温度上升等因素导致了玉琢礁珊瑚礁鱼类的更替。研究结果可为玉琢礁的珊瑚礁鱼类资源保护与管理、珊瑚礁生态系统的恢复提供参考。

     

    Abstract: Yuzhuo Reef is an important atoll in the Xisha Islands, with diverse coral reef ecosystems and rich fish resources. In order to understand the status of coral reef fish resources in Yuzhuo Reef and their evolutionary features, we investigated the fish resources of Yuzhuo Reef in 2023 through methods such as handline fishing, underwater spearing, underwater videography and environmental DNA (eDNA) analysis, identifying 220 fish species in total, of which 111 were discovered through the eDNA method alone. Combining with the historical archival data from the South China Sea Fisheries Research Institute in 2003, we had already recorded a total of 265 fish species in Yuzhuo Reef, which belong to 12 orders, 50 families and 128 genera, with Perciformes species dominating the species composition. The fish community composition was primarily characterized by small-size fish, with the average taxonomic distinctness index (Δ+) and variation in taxonomic distinctness index (Λ+) being 56.08 and 122.4, respectively. Similarity analyses show that from 2003 to 2023, the similarity in species composition, dietary habits and body size was either dissimilar or extremely dissimilar. Compared with the historical records, 45 fish species were not observed; particularly large carnivorous fish were most significantly affected by natural and human disturbances. Conversely, the impact on phytophagous fish was relatively small, with siginificant decline in taxonomic diversity indexes (Δ+, Λ+). It is suggested that unsustainable fishing practices, habitat degradation and rising temperatures have contributed to changes in the fish community structure in Yuzhuo Reef. The findings provide references for the conservation and management of coral reef fish resources and the rehabilitation of coral reef ecosystems in Yuzhuo Reef.

     

/

返回文章
返回