Abstract:
Breeding size affects quality indexes of aquatic products such as muscle texture, amino acids, fatty acids, etc.. To better understand the quality differences of cultured
Trachinotus ovatus with different sizes, we collected
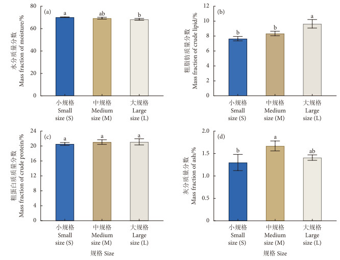
T. ovatus cultured in Qizi Bay, Hainan Province as samples, and conducted a comparative analysis on the body morphology indexes, basic nutritional components, amino acids, fatty acids, and mineral elements. The results reveal that as the fish size increased, the viscerosomatic index, crude lipid and crude protein content also increased, but the moisture content decreased. Furthermore, the levels of essential and umami amino acids showed an increasing trend. Three types of cultured
T. ovatus contained a total of 18 amino acids. The total amount of amino acids and essential amino acid index of small, medium and large size groups were 139.88, 140.68, 151.70 mg·g
−1, and 85.08, 85.49, 89.33, respectively. The ratio of saturated fatty acids to monounsaturated fatty acids to polyunsaturated fatty acids was approximately 1∶1∶1. The medium size group had the highest condition factor and the greatest amount of unsaturated fatty acids, but having the lowest Zn to Fe content ratio. Pearson correlation analysis demonstrates significant positive correlations between fish size and viscerosomatic index, delicious amino acids, total amount of amino acids and Mg, but revealing a significant negative correlation with moisture content. In conclusion, the amino acid and fatty acid composition of cultured
T. ovatus with three sizes are well balanced, and they demonstrate relatively high nutritional value. The study provides data references for refined development of
T. ovatus culture and processing industry.