不同底质环境对方斑东风螺稚螺生长、壳色及抗氧化性能的影响

Effects of different substrate environments on growth, shell color and antioxidant capacity of Babylonia areolata juveniles

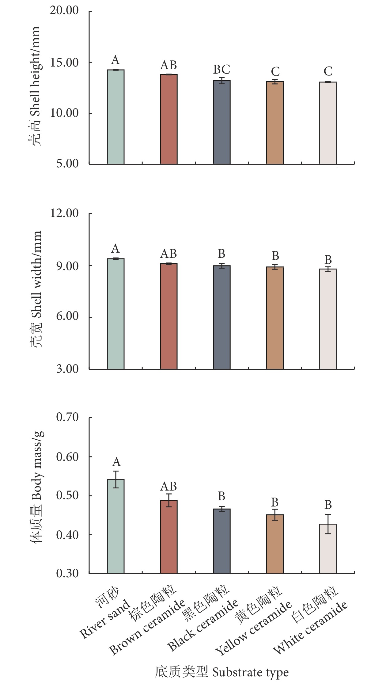
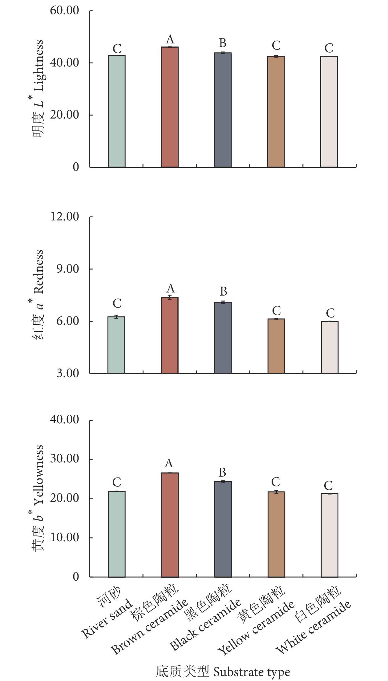
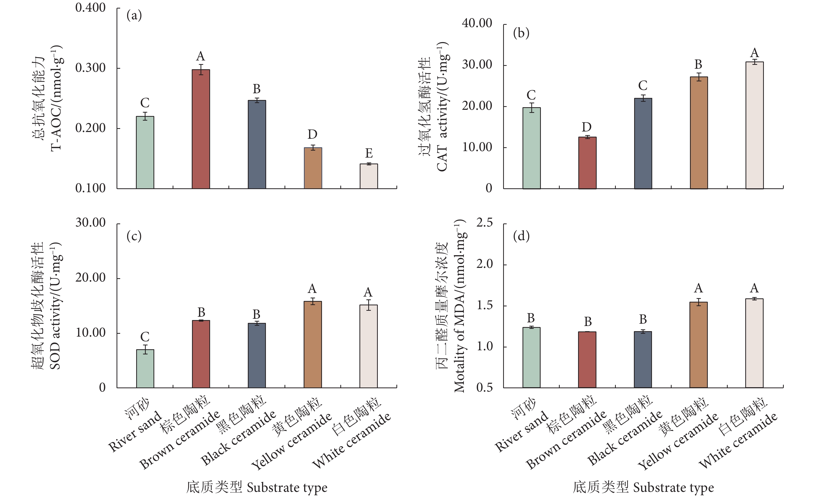
  • 摘要: 为优化方斑东风螺 (Babylonia areolata) 健康养殖技术,比较分析了方斑东风螺稚螺在5种底质环境下 (河砂、棕色陶粒、黑色陶粒、黄色陶粒、白色陶粒) 的生长、壳色及抗氧化性能差异。结果表明,河砂组中底质氨氮 (\rmNH^\text+_4 -N) 质量浓度为 (0.382±0.010) mg·L−1,显著高于其他实验组 (P<0.05);棕色陶粒组的成活率最高 (62.00±2.00)%,显著高于河砂 (56.00±1.00)%、黄色陶粒 (48.00±2.00)% 和白色陶粒 (42.50±3.00)% 组 (P<0.05);河砂组和棕色陶粒组的壳高、壳宽、体质量显著高于黑色、黄色、白色陶粒组 (P<0.05)。实验结束时,棕色陶粒组的壳色更艳丽,其壳色的明度值 (L*)、红度值 (a*)、黄度值 (b*) 皆显著高于其他实验组 (P<0.05)。棕色陶粒组总抗氧化能力显著高于其他实验组,而过氧化氢酶活性和丙二醛质量摩尔浓度分别为 (12.614±0.378) U·mg−1和 (1.179±0.001) nmol·mg−1,均低于其他实验组。综上所述,底质环境会显著影响方斑东风螺稚螺的生长、壳色和抗氧化性能,其中棕色陶粒较适合方斑东风螺稚螺的养殖,在生产中可以选用棕色陶粒替代河砂作为底质。

     

    Abstract: To optimize the healthy culture technology of Babylonia areolata, we compared and analyzed its growth, shell color and antioxidant properties under five substrate environments (River sand, brown ceramsite, black ceramsite, yellow ceramsite, white ceramsite). The results indicat that the ammonia nitrogen content in the river sand group (0.382±0.010) mg·L−1 was significantly higher than that in the other groups (P<0.05). The highest survival rate was observed in brown ceramide group (62.00±2.00)%, which was significantly higher than that of river sand group (56.00±1.00)%, yellow ceramides group (48.00±2.00)% and white ceramides group (42.50±3.00)% (P<0.05). The shell height, shell width and body mass in river sand group were significantly higher than those in black, yellow and white ceramides groups (P<0.05). At the end of the experiment, the values of lightness, redness and yellowness of shell color in brown ceramide group were significantly higher than those in the other groups (P<0.05). The total antioxidant capacity (T-AOC) in brown ceramide group was significantly higher than that in the other groups (P<0.05). However, the catalase (CAT) activity and malonaldehyde (MDA) content were lower than those in the other groups, with (12.614±0.378) U·mg−1 and (1.179±0.001) nmol·mg−1, respectively. In conclusion, substrate environment can significantly affect the growth, shell color, and antioxidant performance of juvenile B. areolate, and brown ceramide can be selected to replace river sand as the substrate in its farming.

     

/

返回文章
返回