Abstract:
In order to study and compare the differences of growth performance, physiological and biochemical indexes between the hybrid porgy (HF
2) of
Acanthopagrus schlegelii♀ (black porgy) ×
Pagrus major♂ (red porgy) and
A. schlegelii with different feeding frequencies, we selected the HF
2 and
A. schlegelii juveniles as the research objects, and set four feeding frequency groups: once·d
−1, twice·d
−1, 3 times·d
−1 and 4 times·d
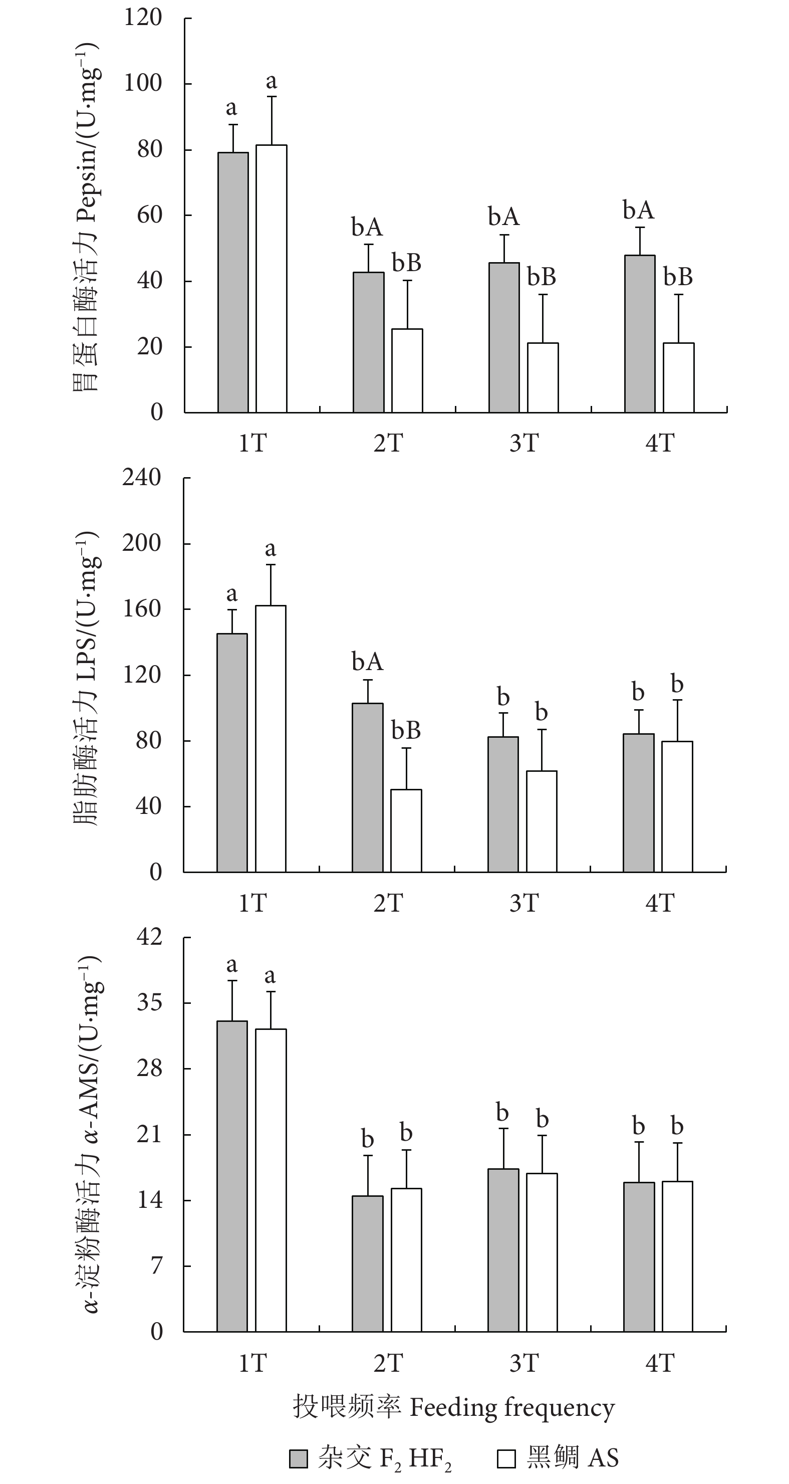
−1 (marked as 1T, 2T, 3T and 4T), and carried out a 40-day breeding experiment. The results show that when the feeding frequency increased from 1T to 2T, the weight gain rate (WGR), specific growth rate (SGR) and survival rate (SR) of the HF
2 and
A. schlegelii increased significantly (
P<0.05), while the activities of pepsin, lipase and α-amylase decreased significantly (
P<0.05). There was no significant difference in the WGR, SGR, SR and digestive enzyme activities among the HF
2 and
A. schlegelii groups (
P>0.05). When the feeding frequency was more than 2T, there was no significant difference in the WGR, SGR, SR and digestive enzyme activity among the experimental groups (
P>0.05). The antioxidant enzyme activity had no significant difference between 3T and 2T groups (
P>0.05), but was significantly higher than that in 4T group (
P>0.05). In addition, with the same feeding frequency, the WGR, SGR, pepsin and lipase (LPS) of the HF
2 in 2T group were significantly higher than those of
A. schlegelii; the catalase (CAT) and total superoxide dismutase (T-SOD) of the HF
2 in 4T group were significantly higher than those of
A. schlegelii (
P<0.05). Therefore, the optimum feeding frequency of the HF
2 and
A. schlegelii juveniles is 2T, and the growth performance of the HF
2 is obviously better than that in
A. schlegelii among all the experimental groups.