停加红糖对凡纳滨对虾生物絮团养殖系统水质和氮收支的影响

Effect of stopping adding brown sugar on water quality and nitrogen budget in biofloc systems cultured with Litopenaeus vannamei

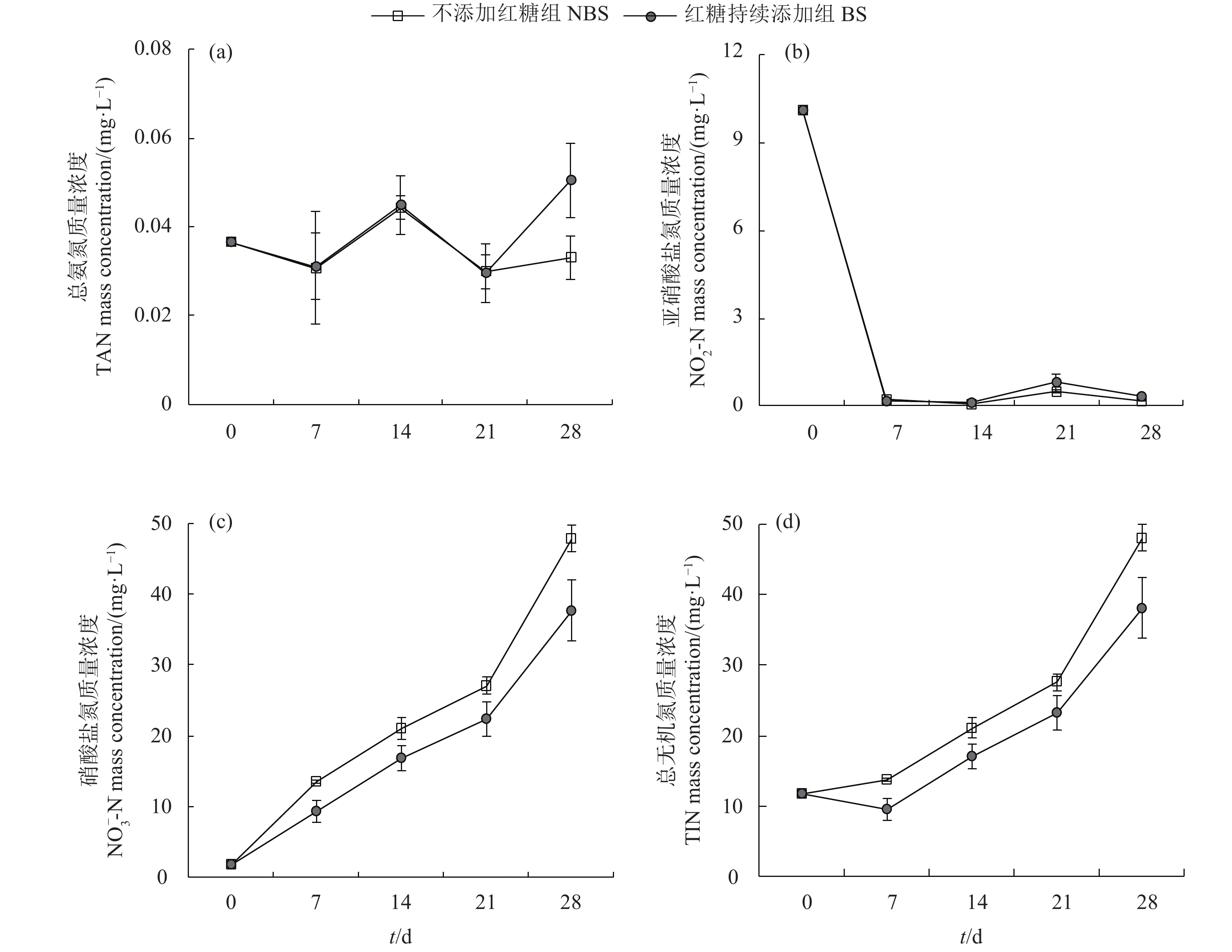
  • 摘要: 试验以生物絮团技术 (Biofloc technology, BFT) 养殖30 d的凡纳滨对虾 (Litopenaeus vannamei) 及其池塘水体为基础,设定红糖持续添加组 (BS-组) 和不添加红糖组 (NBS-组),探究在稳定的凡纳滨对虾生物絮团 (Bioflic, BF) 养殖系统中,适时停止添加红糖对养殖水质和氮收支的影响。在28 d内监测总氨氮 (TAN)、亚硝酸盐氮 (NO2 -N) 等,并测定试验前后虾体和投喂饲料的总氮 (TN)。结果显示,BS组和NBS组的TAN、NO2 -N均处于较低水平,试验期间两组TAN质量浓度维持在0.02~0.06 mg·L−1,试验第7天后两组NO2 -N质量浓度在1.00 mg·L−1以下。研究发现:1) 氮收入主要为饲料,占比78.8%;氮输出主要为水体TN,BS组和NBS组的水体TN分别占45.06%和52.55%;2) 收获虾体的氮输出分别占21.49%和25.43%,两组的饲料氮利用效率分别为18.14%和23.14%。可见,在稳定的BF养殖系统中适时停止添加红糖,对水体微生物去除TAN和NO2 -N的效果不会产生影响。

     

    Abstract: Based on a 30-day culture of Litopenaeus vannamei and its pond water with biofloc technology (BFT), we set up brown sugar continuous addition (BS) group and non-added brown sugar (NBS) group to explore the effect of stopping adding brown sugar on the water quality and nitrogen budget in L. vannamei biofloc (BF) culture system. The total ammonia nitrogen (TAN) and nitrite nitrogen (NO2 -N) were monitored within 28 d, and the total nitrogen (TN) of shrimp body and feed were measured before and after the experiment. The results show that the concentrations of TAN and NO2 -N in water of BS and NBS groups remained low levels. During the test, the concentrations of TAN in these two groups maintained at 0.02~0.06 mg·L−1, and after the 7th day, that of  NO2 -N was lower than 1.00 mg·L−1.The results indicate that the main nitrogen income was feed, which accounted for 78.8%; the main nitrogen output was water TN, which accounted for 45.06% and 52.55% in BS and NBS groups, respectively; the nitrogen output of harvested shrimps accounted for 21.49% and 25.43%, respectively, and the nitrogen utilization efficiencies of feed in the two groups were 18.14% and 23.14%, respectively. Thus, it is concluded that the removal effects of TAN and NO2 -N by microorganisms in water body will not be affected if brown sugar is stopped in a stable BF culture system.

     

/

返回文章
返回