饲料碳水化合物与脂肪比例对吉富罗非鱼成鱼生长、体成分和血清生化指标的影响

Effects of dietary carbohydrate to lipid ratio on growth performance, body composition and serum biochemical indices of adult GIFT Oreochromis niloticus

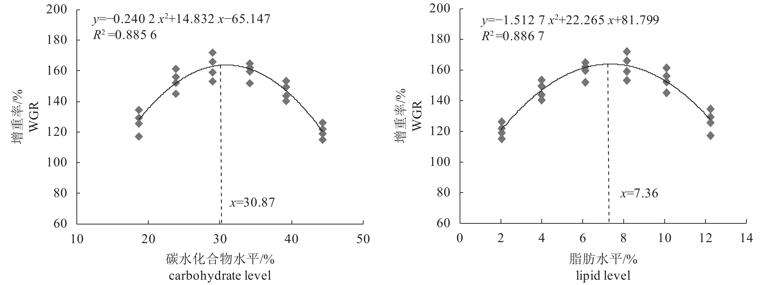
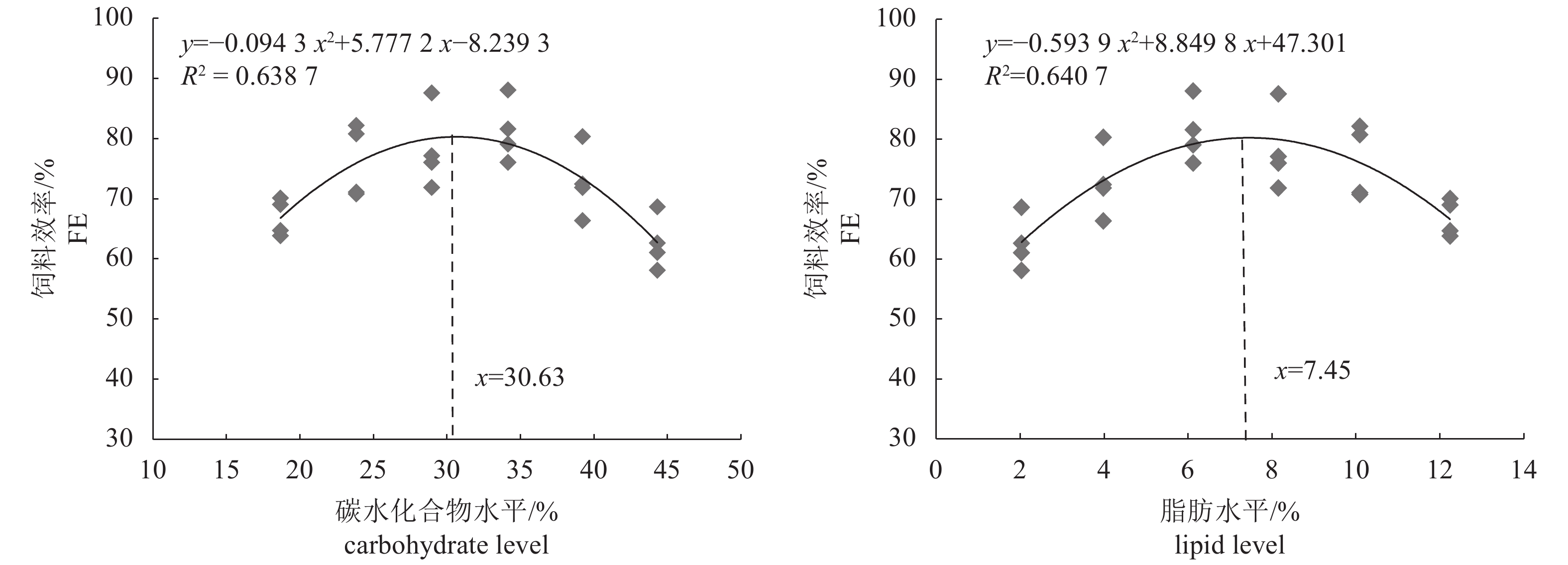
  • 摘要: 为确定吉富罗非鱼(GIFT Oreochromis niloticus)成鱼饲料中适宜的碳水化合物与脂肪比例(C/L),实验设计了6组等氮等能的半纯化饲料,饲料C/L比例分别为1.53、2.36、3.55、5.58、9.85、21.82。投喂初始质量为(218.33±11.03) g的吉富罗非鱼成鱼56 d。结果显示,增重率和特定生长率在C/L比例为3.55时最高,显著高于C/L比例1.53、9.85和21.82组 (P<0.05);饲料效率和蛋白质效率在C/L比例介于2.36~5.58时无显著差异,显著高于1.53和21.82组(P<0.05)。随着饲料C/L比例的升高,肝体比和脏体比呈显著下降趋势(P<0.05),成活率各组无显著差异(P>0.05)。全鱼和肝脏的粗脂肪含量随饲料C/L比例的增加显著降低(P<0.05)。血清甘油三酯(TG)和高密度脂蛋白胆固醇(HDL-C)含量随C/L比例升高而下降,低密度脂蛋白胆固醇(LDL-C)和血糖(GLU)含量则呈显著上升趋势(P<0.05)。分别利用二次多项式回归分析增重率、蛋白质效率和饲料效率与碳水化合物水平及脂肪水平的相关性,得到饲料中适宜的C/L比例分别是4.19、4.15和4.11。研究表明吉富罗非鱼成鱼饲料中适宜的C/L比例为4.11~4.19。

     

    Abstract: To determine the optimal dietary carbohydrate to lipid (C/L) ratio for GIFT Oreochromis niloticus, we formulated six isonitrogenous and isoenergetic diets with C/L ratios of 1.53, 2.36, 3.55, 5.58, 9.85 and 21.82, respectively. Each diet had been randomly fed to the fish with initial average body mass of (218.33±11.03) g for 56 d. The weight gain rate (WGR) and specific growth rate (SGR) were the highest in group of 3.55, significantly higher than those in groups of 1.53, 9.85 and 21.82 (P<0.05). The feed efficiency (FE) and protein efficiency ratio (PER) in groups of 2.36−5.58 had insignificant difference, but were significantly higher than those in groups of 1.53 and 21.82. The viscerosomatic index (VSI) and hepatosomatic index (HSI) decreased significantly as the dietary C/L ratios increased (P<0.05), but the survival rate (SR) showed insignificant difference among different treatments (P>0.05). The whole body and liver lipid content decreased significantly as C/L ratios increased (P<0.05). The serum triglyceride (TG) and high-density lipoprotein cholesterol (HDL-C) levels decreased as dietary C/L ratios increased, whereas the low-density lipoprotein cholesterol (LDL-C) and glucose (GLU) contents showed an opposite trend (P<0.05). Based on the second-order polynomial regression analysis of WGR, PER and FE against dietary carbohydrate and lipid levels, the optimal C/L ratios were 4.19, 4.15 and 4.11, respectively. In conclusion, the diet with C/L ratio of 4.11−4.19 is optimal for adult GIFT O. niloticus.

     

/

返回文章
返回