南海东沙群岛海域圆鲹属鱼类矢耳石的形态特征分析

Sagittae morphology of genus Decapterus from Dongsha Islands in South China Sea

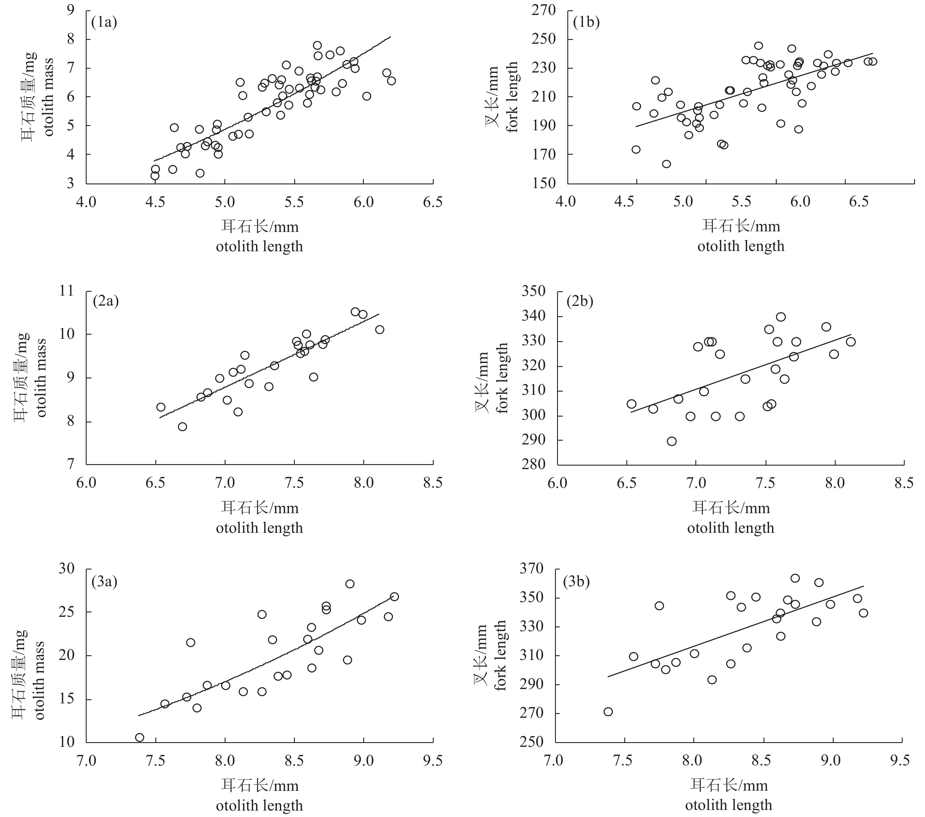
  • 摘要: 该研究对采集于中国南海东沙群岛105尾圆鲹属鱼类长体圆鲹(Decapterus macrosoma)、泰勃圆鲹(D. tabl)、无斑圆鲹(D. kurroides)的矢耳石形态进行了观察与测定。圆鲹属鱼类矢耳石呈长椭圆形,基叶发达,种间差异明显。长体圆鲹基叶前端略微向下弯曲;泰勃圆鲹耳石背部脊突发育明显,呈锯齿状,基叶前端略宽厚;无斑圆鲹耳石整体轮廓较光滑,翼叶发育不明显。根据形态指标(耳石长、耳石宽、基叶长、基叶宽、耳石质量、耳石面积等)对不同种圆鲹属鱼类(长体圆鲹、泰勃圆鲹、无斑圆鲹)的判别成功率分别为100%、100%、91.7%。研究结果表明矢耳石可作为鉴别圆鲹属鱼类的一种材料。

     

    Abstract: We observed and determined the sagittae morphology of 105 individuals of genus Decapterus (Decapterus macrosoma, D. tabl and D. kurroides) collected from the Dongsha Islands in the South China Sea. The sagittae shape of genus Decapterus was long oval with developed rostrum, and the difference between species was distinct. The front end of D. macrosoma rostrum was slightly bent downward. The knob of otolith dorsal of D. tabl was obviously developed with serrated shape, and the front end of rostrum was slightly broad and thick. The overall outline of D. kurroides otolith was smoother, and antirostrum was poorly developed. According to the morphological indices (otolith length, otolith width, rostrum length, rostrum width, otolith mass and otolith area), the classification of different species of genus Decapterus (D. macrosoma, D. tabl and D. kurroides) achieved success rates of 100%, 100% and 91.7%, respectively. It is shown that sagittae can identify genus Decapterus.

     

/

返回文章
返回